2022年论文
Jin, X.-Y.; Huang, Z.-R.; Xie, L.-J.; Liu, L.; Han, D.-L.;* Cheng, L.* "Photo-Facilitated Detection and Sequencing of 5-Formylcytidine RNA", Angew. Chem. Int. Ed. 2022, 61, e202210652. (VIP Article)
.gif)
————————————————————————————————————————————
Liu, A.-D.; Wang, Z.-L.; Liu, L.; Cheng, L.* "A Visible-Light-Promoted C−H arylation and heteroarylation of Uracil Derivatives with Diazoniums in Aqueous Conditions", Curr. Protoc. Nucleic Acid Chem. 2022, 2, e432.
————————————————————————————————————————————
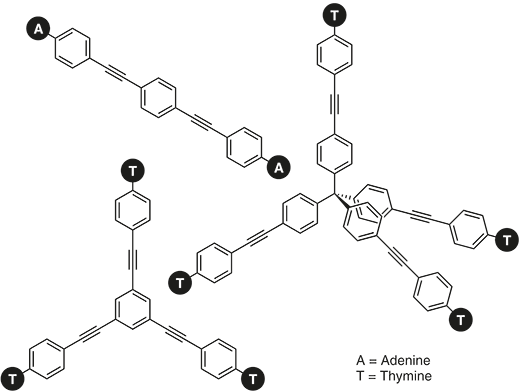
Jin, X.-Y.; Wu, C.-S.; Liu, A.-D.; Liu, L.; Cheng, L.* "Synthesis of rigid rod, trigonal and tetrahedral nucleobase-terminated molecules", Synthesis, 2022, 54, 1643-1651.
.gif)
————————————————————————————————————————————
Xie, L.-J.; Lin, C.-L.; Liu, L.; Cheng, L.* "A Chemical Labelling of N6-Formyl Adenosine (f6A) RNA", Chin. Chem. Lett. 2022, 33, 1563-1566.
.gif)
————————————————————————————————————————————
Sun, Y.-J.; Cheng, L.* "The Chemistry behind ThiC rearrangement", ChemBioChem, 2022, 23, e202100385.
.gif)